Products
Home / Products- list / Side Scan Transducer / TS40-900-A50 Side Scan Transducer

TS40-900-A50 Side Scan Transducer

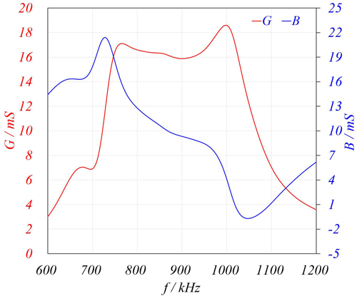
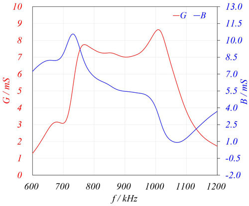
AOTC’s Model TS40-900-A50 transducer is a combined transmit/receive, dual-frequency linear array transducer.
 
Parameters:Short Array / Long Array
Number of Channels:2
Center Frequency:900kHz
Static Capacitance:1.6nF / 3.1nF
Impedance Bandwidth:350kHz
OCVS:≥-200dB
TVR of Array Element:≥187dB / ≥191dB
Vertical Beamwidth (-3 dB):50°
Horizontal Beamwidth (-3 dB):0.40° / 0.19°
Interface Type:2-meter shielded cable
Weight:0.5kg
Main Body Material:Aluminum alloy
Maximum Operating Depth:3000m
Availability:
Quantity:
facebook sharing button
twitter sharing button
line sharing button
wechat sharing button
linkedin sharing button
pinterest sharing button
whatsapp sharing button
sharethis sharing button
Previous: 
Next: 
Inquire
AOTC is renowned in the sonar industry for its professional expertise and meticulous craftsmanship.

CONTACT US

  No. 2, Taishan Road, Huqiu District, Suzhou City, Jiangsu Province
 +86 139 1884 3947
 +86-512-68710566
​Copyright © 2026 Acoustic Origin Transducer, CO., LTD. All rights reserved    Sitemap